Class 9 Maths Chapter 12 Heron's Formula 12.1 NCERT Solutions in Hindi Medium

हीरोन सूत्र Ganit NCERT Solutions in Hindi Medium Exercise 12.1
प्रश्न 1. एक यातायात संकेत बोर्ड पर ‘आगे स्कूल है’ लिखा है और यह भुजा 'a' वाले एक समबाहु त्रिभुज के आकार का है। हीरोन के सूत्र का प्रयोग करके इस बोर्ड का क्षेत्रफल ज्ञात कीजिए। यदि संकेत बोर्ड का परिमाप 180 cm है, तो इसका क्षेत्रफल क्या होगा?
Solution
हम जानते हैं कि एक समबाहु त्रिभुज की तीनों भुजाएँ बराबर होती हैं। अतः सभी भुजाएँ a के बराबर हैं।
त्रिभुज का परिमाप = 180 सेमी (दिया है)
a + a + a = 180
⇒ 3a = 180
⇒ a = 60 सेमी
प्रश्न 2. किसी फ्रलाईओवर (flyover) की त्रिभुजाकार दीवार को विज्ञापनों के लिए प्रयोग किया जाता है। दीवार की भुजाओं की लंबाइयाँ 122 m, 22 m और 120 m हैं (देखिए आकृति 12.9)। इस विज्ञापन से प्रति वर्ष 5000 रु प्रति m2 की प्राप्ति होती है। एक कम्पनी ने एक दीवार को विज्ञापन देने के लिए 3 महीने के लिए किराए पर लिया। उसने कुल कितना किराया दिया ?
Solution
माना a = 122 मी, b = 22 मी, c = 120 मी
दिया है, b2 + c2 = (22)2 + (120)2
484 + 14400
= 14884
= (122)2
= a2
अतः पाश्र्वय दीवार समकोण त्रिभुजाकार आकृति में है।
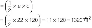
त्रिभुजाकार पार्श्वीय दीवार का क्षेत्रफल
अब, वार्षिक किराया = ₹5000 प्रति मी2
∴ महीने का किराया = ₹5000 × 1/2 प्रति मी2
चूँकि कम्पनी ने दीवारों को 3 महीने के लिए किराए पर लिया है।
अतः 3 महीने के लिए कम्पनी द्वारा दिया गया किराया
प्रश्न 3. किसी पार्क में एक फिसल पट्टी (slide) बनी हुई है। इसकी पार्श्वीय दीवारों (side walls) में से एक दीवार पर किसी रंग से पेंट किया गया है और उस पर "पार्क को हरा-भरा और साफ रखिए" (देखिए आकृति 12.10) लिखा हुआ है । यदि इस दीवार की विमाएँ 15m, 11m और 6m हैं, तो रंग से पेंट हुए भाग का क्षेत्रफल ज्ञात कीजिए।
Solution
दी गई आकृति एक त्रिभुज निरूपित करती है जिसकी भुजाएँ a = 15 मी, b = 11 मी, c = 6 मी हैं।
अतः रंग से पेंट हुए भाग का क्षेत्रफल
अतः रंग से पेंट हुए भाग का क्षेत्रफल 20√2 मी2 है।
प्रश्न 4. उस त्रिभुज का क्षेत्रफल ज्ञात कीजिए जिसकी दो भुजाएँ 18 cm और 10 cm हैं तथा उसका परिमाप 42 cm है।
Solution
माना एक त्रिभुज की भुजाएँ a = 18 सेमी, b = 10 सेमी तथा c हैं।
दिया है, परिमाप = 42 सेमी
⇒ a + b + c = 42
⇒ 18+ 10 + c = 42
⇒ c = (42 – 28) सेमी
⇒ c = 14 सेमी
प्रश्न 5. एक त्रिभुज की भुजाओं का अनुपात 12: 17: 25 है और उसका परिमाप 540cm है। इस त्रिभुज का क्षेत्रफल ज्ञात कीजिए।
Solution
माना सेमी में भुजाएँ 12x, 17x तथा 25x हैं।
तब हम जानते हैं कि, 12x + 17x + 25x = 540 (त्रिभुज का परिमाप)
⇒ 54x = 540
⇒ x = 10
अतः त्रिभुज की भुजाएँ 12×10 सेमी, 17×10 सेमी, 25×10 सेमी अर्थात् 120 सेमी, 170 सेमी, 250 सेमी हैं।
दिया है, s = 540/2 सेमी = 270 सेमी
प्रश्न 6. एक समद्विबाहु त्रिभुज का परिमाप 30 cm है और उसकी बराबर भुजाएँ 12 cm लम्बाई की हैं। इस त्रिभुज का क्षेत्रफल ज्ञात कीजिए।
Solution
माना समद्विबाहु ∆ABC में,
दिया है, AB = AC = 12 सेमी
परिमाप = 30 सेमी
⇒ AB + AC + BC = 30
⇒ 12 + 12 + BC = 30
⇒ BC = 30 - 24
⇒ BC = 6 सेमी
दिया है, s = 30/2 सेमी = 15 सेमी