Class 10 Maths Chapter 5 Arithmetic Progressions Exercise 5.4 NCERT Solutions in Hindi Medium

समांतर श्रेढ़ियाँ Ganit NCERT Solutions in Hindi Medium Exercise 5.4
प्रश्न 1. समांतर श्रेणी 121,117,113,...., का कौन -सा पद सबसे पहला ऋणात्मक पद होगा ?
[संकेत : an<0 के लिए n ज्ञात कीजिए |]
Solution
दिया गया है,
प्रथम पद (a) = 121
सार्वअंतर (d) = 117 - 121 = -4
∵ समांतर श्रेणी में n पद हैं |
अतः समांतर श्रेणी का 32वाँ पद प्रथम ऋणात्मक पद होगा |
प्रश्न 2. किसी A.P. के तीसरे और सातवें पदों का योग 6 है और उनका गुणनफल 8 है | इस A.P. के प्रथम 16 पदों का योग ज्ञात कीजिए |
Solution
माना समांतर श्रेणी का प्रथम पद a और सार्वअंतर d है |
प्रश्नानुसार,
a3 + a7 = 6
प्रश्न 3. एक सीढ़ी के क्रमागत डंडे परस्पर 25 सेमी की दुरी पर हैं| (देखिए आकृति 5.7) | डंडों की लंबाई एक समान रूप से घटती जाती है तथा सबसे निचले डंडे की लंबाई 45 सेमी है और सबसे ऊपर वाले डंडे की लंबाई 25 सेमी है | यदि ऊपरी और निचले डंडे के बीच की दुरी 2½ मी है, तो डंडों को बनाने के लिए लकड़ी की कितनी लंबाई की आवश्यकता होगी ?
[संकेत : डंडों की संख्या = 250/25 + 1 हैं |]
Solution
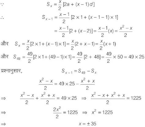
प्रश्न 4. एक पंक्ति के मकानों को क्रमागत रूप से संख्या 1 से 49 तक अंकित किया गया है | दर्शाइए कि x का एक ऐसा मान है x से अंकित मकान से पहले के मकानों की संख्याओं का योग उसके बाद वाले मकानों की संख्याओं के योग के बराबर है | x का मान ज्ञात कीजिए |
[संकेत : Sx-1 = S49 - Sx है |]
Solution
एक पंक्ति के मकानों को क्रमागत संख्या 1, 2, 3, ....., 49 है | स्पष्ट है कि संख्यों की सूचि समांतर श्रेणी बनाती है |
यहाँ,
a = 1,
d = 2 - 1 = 1
प्रश्न 5. एक फुटबॉल के मैदान में एक छोटा चबूतरा है जिसमें 15 सीढीयाँ बनी हुई हैं | इन सीढीयों में से प्रत्येक की लंबाई 50मी है वह ठोस कंक्रीट (concrete) की बनी है प्रत्येक सीढ़ी में 1/4 मी की चौड़ाई है और 1/2 मी का फैलाव (चौड़ाई) है | (देखिए आकृति 5.8)| इस चबूतरे को बनाने में लगी कंक्रीट का कुल आयतन परिकलित कीजिए |
[संकेत : पहली सीढ़ी को बनाने में लगी कंक्रीट का आयतन = 1/4 × 1/2 × 50 मी3 है |]
Solution
पहली सीढ़ी, दूसरी सीढ़ी, तीसरी सीढ़ी, .... को बनाने में लगी कंक्रीट का आयतन